테일러 급수란? 테일러급수의 용도, 증명, 역사
오늘은 수학과 과학 분야에서 광범위하게 활용되는 테일러 급수에 대해 알아보겠습니다.
테일러 급수는 함수를 다항식으로 근사하는 강력한 도구로, 다양한 현상을 모델링하고 분석하는 데 유용하게 사용됩니다. 함께 테일러 급수의 정의와 증명, 그리고 실제 응용 사례를 살펴보면서, 그 중요성과 유용성을 파악해 보도록 하겠습니다.
테일러급수란?
테일러 급수는 함수를 무한번 미분하여 얻어지는 전개식입니다.
함수를 다항식으로 근사하기 위해 사용되며, 이론적으로는 무한 항으로 이루어진 급수로 정의됩니다.
테일러 급수의 역사
테일러 급수는 17세기 영국 수학자 제임스 그레고리 테일러(James Gregory Taylor)의 이름을 딴 수학적인 개념입니다. 그러나 테일러보다 약간 늦은 18세기 말에 레온하르트 오일러(Leonhard Euler)에 의해 널리 연구되고 정립되었습니다.
테일러 급수는 그레고리 테일러가 개발한 무한항 급수 전개 방법에 근거합니다. 그레고리 테일러는 기존의 함수를 다항식으로 전개하여 계산과 분석을 용이하게 하기 위한 방법을 모색하던 중, 함수의 미분과 관련하여 새로운 개념을 제시했습니다. 이후 그의 연구가 오일러와 다른 수학자들에 의해 확장되어 테일러 급수의 개념이 형성되었습니다.
테일러 급수는 그 당시 미적분학과 해석학의 발전과 밀접한 관련이 있었습니다. 수학자들은 함수의 성질과 근사에 대한 이해를 넓히기 위해 테일러 급수를 연구하였고, 이를 활용하여 다양한 문제를 해결하였습니다.
테일러 급수의 역사는 이후 수많은 수학자들의 연구와 응용을 거쳐 발전해왔습니다. 특히, 미분 가능성과 연속성 등의 조건을 고려한 테일러 급수의 수렴성과 정확도에 대한 연구는 수학의 중요한 영역이 되었습니다.
현재, 테일러 급수는 수학뿐만 아니라 공학, 물리학, 통계학 등 다양한 분야에서 널리 사용되며, 함수의 근사, 수치해석, 신호 처리 등 다양한 응용에 활용되고 있습니다. 이는 그레고리 테일러의 원래 연구가 현대 과학과 기술의 발전에 큰 영향을 미쳤음을 보여줍니다.
테일러급수의 증명
주어진 함수 $f(x)$가 무한번 미분 가능하다고 가정합니다.
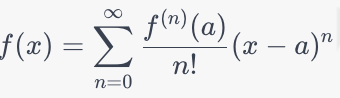
테일러 급수는 다음과 같이 정의됩니다:

여기서 $f'(x)$는 $f(x)$의 1차 미분, $f''(x)$는 2차 미분, $f'''(x)$는 3차 미분을 나타냅니다. 또한 $a$는 전개를 시작하는 지점입니다.
이 식을 간단히 쓰면 다음과 같이 나타낼 수 있습니다:

여기서 $f^{(n)}(a)$는 $f(x)$의 $n$차 미분을 $a$에서의 값으로 나타냅니다.
테일러 급수는 함수의 근사값을 구하는 데 유용하게 사용될 수 있습니다.
또한 전개식의 항을 더 많이 포함할수록 근사의 정확도가 향상됩니다.
테일러급수로 근사할 수 없는 함수
테일러 급수로 정확하게 근사할 수 없는 함수 중 하나는 절대값이 무한대로 발산하는 함수입니다. 이러한 함수의 예로는 $f(x)=1/x$ 가 있습니다. $f(x)=1/x$ 함수는 $에서 정의되지 않으며, $ 근처에서의 테일러 급수로는 정확한 근사가 불가능합니다. 이는 $에서의 미분 계수들이 존재하지 않기 때문입니다. 테일러 급수는 주어진 지점에서의 미분 계수를 활용하여 함수를 근사하는데, $f(x)=1/x$ 의 경우에는 0을 포함한 근처에서 미분 계수가 존재하지 않기 때문에 테일러 급수로 정확한 근사를 얻을 수 없습니다.
따라서, 절대값이 무한대로 발산하는 함수와 같이 특정 지점에서의 미분 계수가 존재하지 않는 함수는 테일러 급수로 정확한 근사를 할 수 없는 예시입니다.
테일러 급수 활용분야
테일러 급수는 수학과 과학 분야에서 다양하게 활용됩니다. 몇 가지 주요한 응용 분야는 다음과 같습니다.
- 함수 근사: 테일러 급수를 사용하여 함수를 다항식으로 근사할 수 있습니다. 이를 통해 복잡한 함수를 간단한 다항식으로 대체하여 계산 및 분석을 용이하게 할 수 있습니다.
- 물리학: 물리학에서는 테일러 급수를 사용하여 운동, 전자기학, 양자역학 등 다양한 물리 현상을 모델링하고 예측하는 데 활용됩니다.
- 공학: 테일러 급수는 공학 분야에서 신호 처리, 제어 시스템, 통신 시스템 등에 널리 사용됩니다. 함수를 근사하는 데 테일러 급수를 사용하여 시스템 동작을 모델링하고 설계하는 데 도움이 됩니다.
- 수치 해석: 수치 해석에서 테일러 급수는 함수의 근사값을 계산하는 데 사용됩니다. 다항식 형태로 근사된 함수는 계산이 간단하며, 근사 정확도를 조절하기 위해 필요한 항 수를 선택할 수 있습니다.
- 확률 및 통계: 확률 및 통계에서는 테일러 급수를 사용하여 확률 밀도 함수나 누적 분포 함수를 근사하는 데 활용됩니다. 작은 항만 사용하여 근사하면 정확도를 향상시킬 수 있습니다.
이 외에도 경제학, 컴퓨터 과학, 금융 등 다양한 분야에서도 테일러 급수가 활용됩니다. 테일러 급수는 함수를 다항식으로 근사하는 강력한 도구로, 다양한 현상을 모델링하고 분석하는 데 유용하게 사용됩니다.